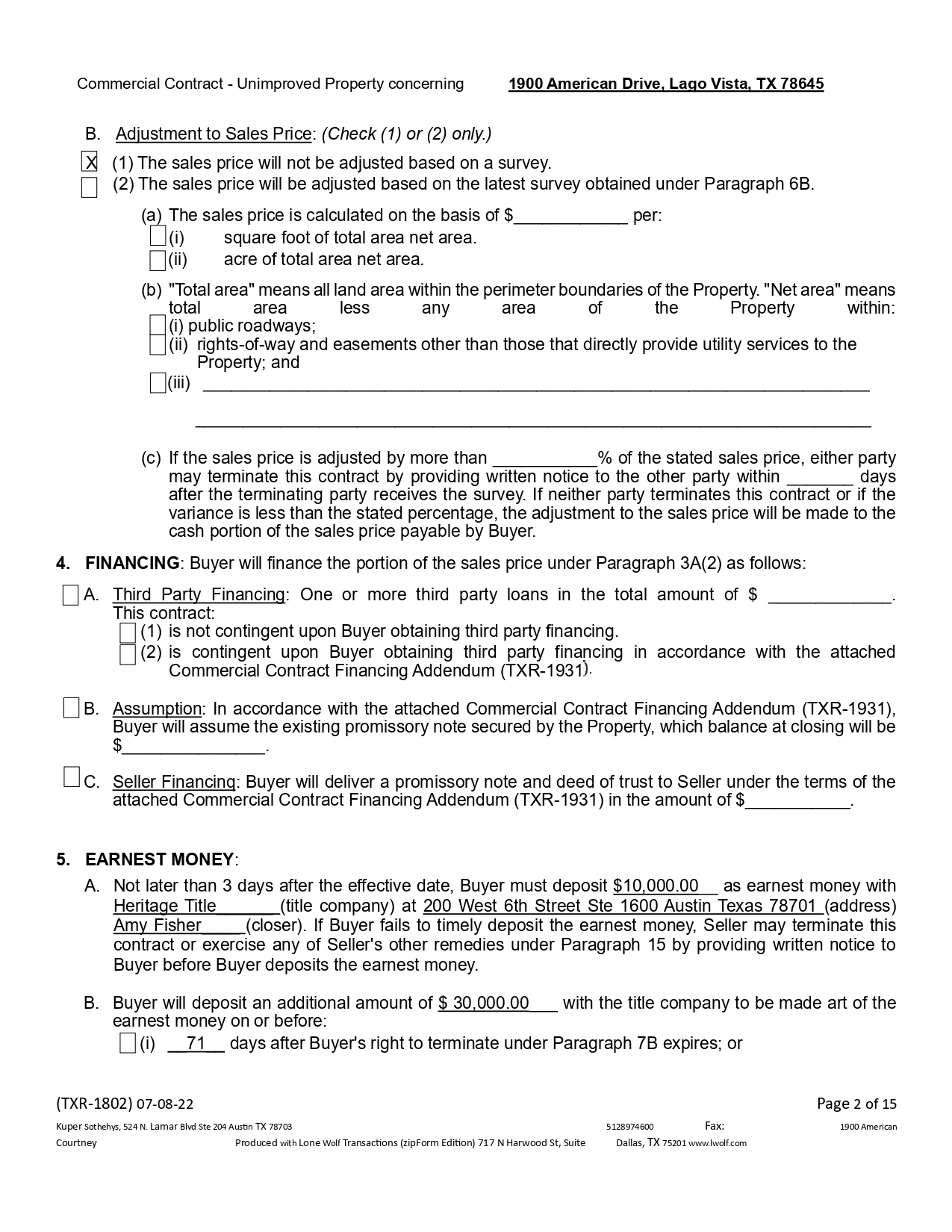
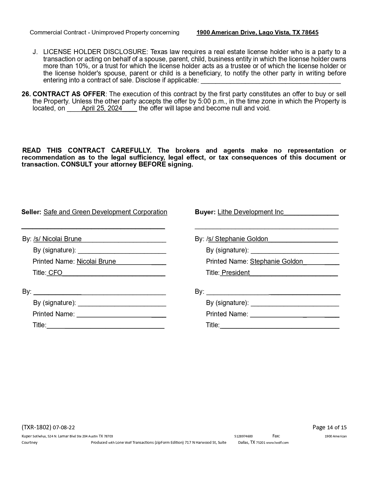
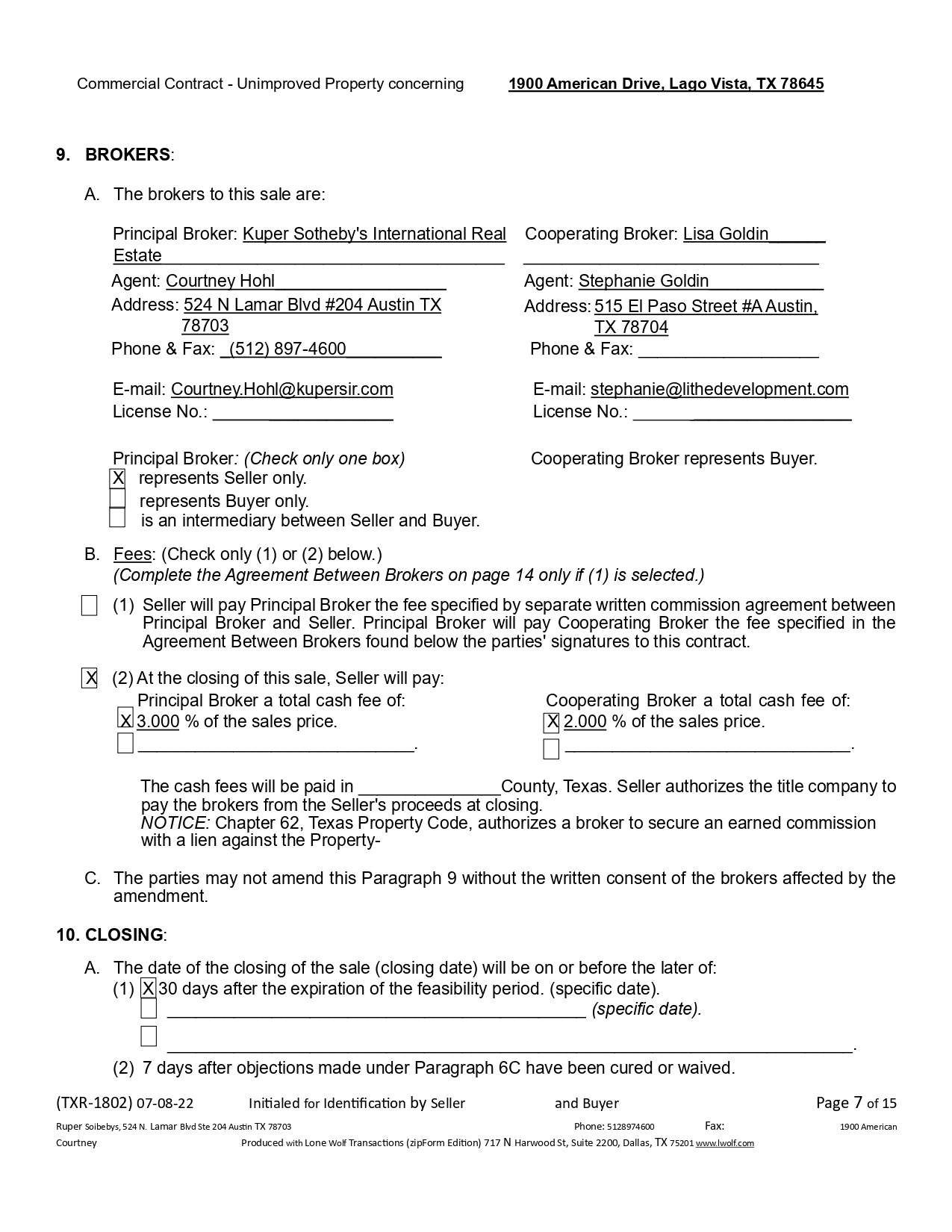
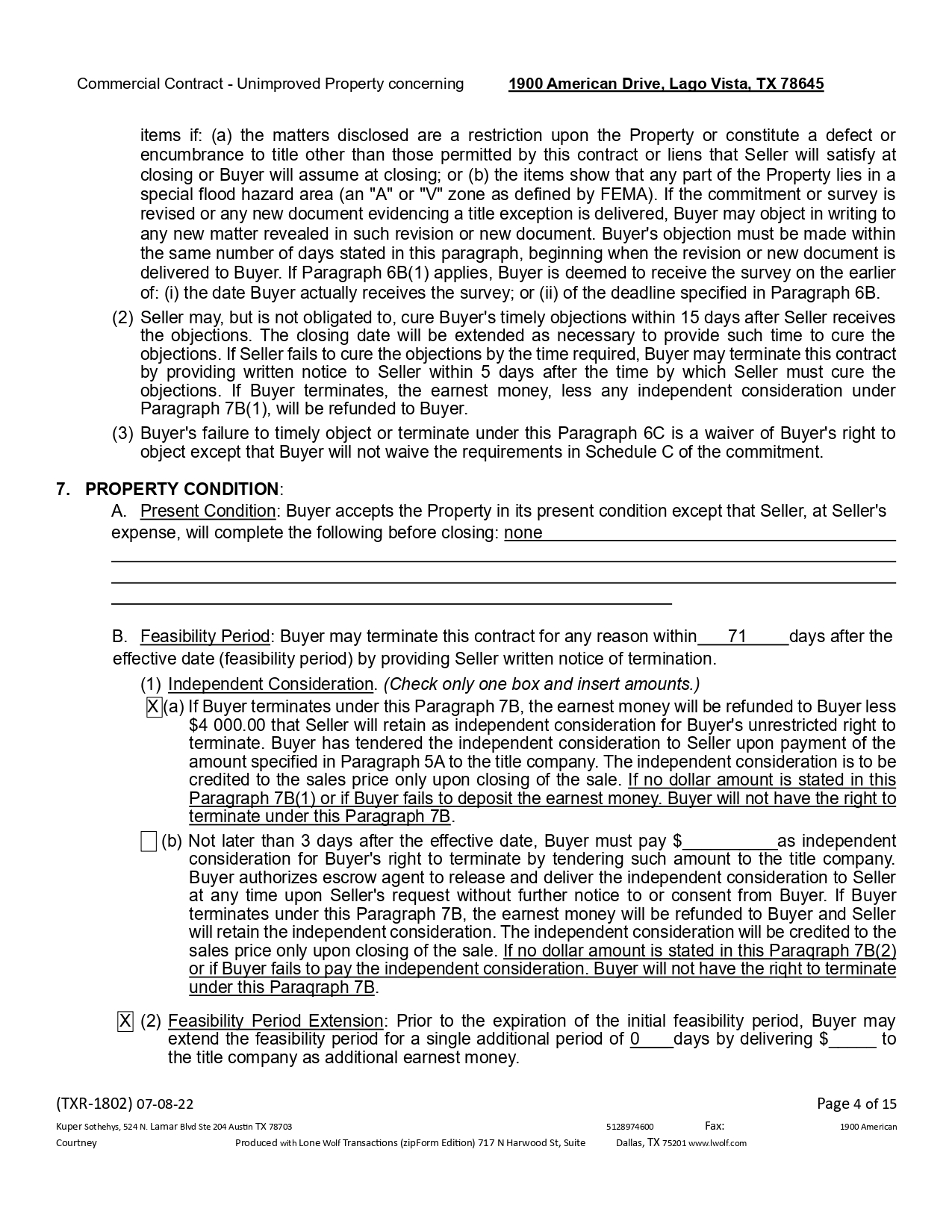
COMMERCIAL CONTRACT BETWEEN SAFE AND GREEN DEVELOPMENT CORPORATION AND LITHE DEVELOPMENT INC Published on May 1, 2024 Exhibit 10.2